导读
作者在三元正极材料中添加石墨烯,研究不同状态的石墨烯及其添加量对电池低温和倍率性能的影响。
锂离子电池因具有工作电压高、比能量大、输出功率大、充电速率快、循环寿命长、无记忆效应、自放电小、工作温度宽等诸多优点,已经被广泛应用于消费类电子产品,并且在新能源汽车和储能系统等领域快速发展[1]。然而昼夜、季节、地域等带来的温差变化,以及复杂的路况信息对锂离子电池的低温放电、倍率放电等电化学性能提出了更高的要求[2-3]。
提高锂离子电池低温、倍率等电化学性能的方法主要包括提高正极的本征电子电导率与锂离子扩散速率[4]、提高导电剂的电子电导率[5-6]、提高隔膜的离子电导率[6]、降低电解液的熔点和黏度[7]以及改善电池的制作工艺[8]等方法。其中,添加电导率更高的导电剂的方法最为实用,添加少量的导电剂即可使性能获得较为明显的提升,成本增加少,同时易于扩大化生产。目前应用比较成熟的碳系导电剂主要包括导电炭黑(Super P)、导电石墨(KS-6)、气相生长炭纤维(VGCF)及碳纳米管(CNT)等[9]。
石墨烯作为一种新型的纳米碳材料,目前已成为物理、化学和材料领域的研究热点。其作为优质的导电剂(载流子迁移率约为2×105 cm2/(V•s),锂离子迁移率为10-7~10-6 S/cm)[10],在锂离子电池领域有着巨大的应用前景。Li和Zhang等[11-12]通过水热法制备了LiFePO4/G的复合材料,SEM显示LiFePO4原位生长于石墨烯的表面,0.1 C下LiFePO4/G的比容量在达到160.3 mAh/g,接近理论比容量,10 C下也达到81.5 mAh/g。交流阻抗(EIS)等电化学测试发现石墨烯的掺杂提高了材料的导电性,同时减小了LiFePO4颗粒的尺寸,促进了锂离子的扩散速率。由于石墨烯具有较高的无序度、较大的比表面积以及大量微介孔缺陷等特性使得其在可逆储锂方面效果更加明显[13-14],这将显著改善目前锂离子电池存在的本征低电导率这一限制因素,为锂离子电池的广泛应用提供了研究方向,同时石墨烯枝接的化学基团(羧基、羟基等),可为活性材料间的结合,以及作为锂离子键合位点的辅助,具有更为深远的意义。
目前人们的研究重点为将石墨烯与正极材料进行原位复合制备复合型正极材料,研究结果表明石墨烯复合型正极材料的电化学性能得到了提升,然而其制备工艺复杂且周期长,限制了工业化应用[15]。本实验将商业化的石墨烯作为正极导电剂导入到成熟的18650型号电池产品体系中,工艺简便可靠,易于工业化应用。实验考察了两种状态(浆料、粉末)的石墨烯对电池低温和倍率性能的影响。陈志金等[9]研究表明良好的导电剂有助于正极活性物质的性能发挥,因此实验进一步降低Super P的配比,提高正极活性物质的配比,考察石墨烯的添加能否有助于正极活性物质的性能发挥。
一、实 验
1.1 石墨烯规格
本实验针对两种状态的石墨烯进行实验研究。a样品为质量分数5%的石墨烯浆料(电池级),分散溶剂为N-甲基吡咯烷酮(NMP);b样品为氮掺杂石墨烯粉末(电池级)。两种石墨烯的SEM如图1所示,从图1中可见a样品的石墨烯为面积较大的片状,b样品为面积较小的片状,而且有块状颗粒。

(a)a样品石墨烯浆料 (b)b样品石墨烯粉末
图1 石墨烯原料的SEM图
1.2 电池制作
以三元材料为正极、人造石墨为负极进行制作2 000 mAh 18650型圆柱电池。表1为石墨烯作为添加剂的正极配方,使用石墨烯浆料的实验编号为1#和2#,使用石墨烯粉末的实验编号为3#和4#,未添加石墨烯的对照试组编号为5#。其中1#和2#中的石墨烯配比为石墨烯浆料的配比,按照质量分数含量5%的比例换算后石墨烯的净含量与3#和4#中石墨烯粉末的配比相同。
表1 石墨烯添加剂正极配方 质量分数%

1.3 性能测试
采用Quanta 250 FEG场发射扫描电镜对样品极片表面形貌进行观察,采用BK-6808/5和BK-6816/30电池测试柜对样品电池进行充放电性能测试,采用BE-TH-150L8恒温恒湿箱提供低温环境。
电池的电性能测试环境及测试方法参考GB/T31486-2015《电动汽车用动力蓄电池电性能要求及实验方法》进行。环境温度:25 ℃±5 ℃,相对湿度为15%~90%。标准充电:1 C恒流恒压充电至4.2 V,截止电流0.05 C。标准放电:1 C恒流放电至3 V。1 C指的是电池1 h放电至3 V所需的电流大小,即2 A。低温测试:每组样品取3只电池,在室温下充满电后,在-20 ℃±2 ℃下搁置24 h,并在该温度下以1 C恒流放电至2.4 V,记录放电容量。倍率测试:每组样品取3只电池,在室温下充满电后,以3 C进行放电,终止电压为3 V,记录放电容量,重复上述步骤,其中放电倍率调整为5 C、8 C、10 C。
二、结果与讨论
2.1 石墨烯分散效果分析
由于石墨烯具有较大的比表面积和表面官能团,易与材料发生静电吸附而团聚,造成材料分散性较差。为研究不同状态的石墨烯对正极浆料分散效果的影响,实验采用扫描电镜(SEM)对四组添加石墨烯样品的正极片表面和横切面形貌进行了观察。
图2为正极片表面的SEM图,从图2中可见三元材料颗粒分布均匀,粒径大小分布在10~30 μm,三元材料颗粒的表面布满了导电剂和黏结剂,变得粗糙不平,颗粒之间也填充了由导电剂和黏结剂组成的絮状导电网,由此增加了材料颗粒之间的电子传导率。通过对比可见,1#和2#的颗粒分散均匀程度要好于3#和4#,特别是3#有较为明显的导电剂堆积现象,原因可能是石墨烯粉末比表面积较大,分散性差,在搅料过程中发生了团聚现象,势必会导致部分区域的导电剂不足而影响电池的性能。此外,还发现2#和4#出现少量被压碎的颗粒,原因可能是这两个样品的三元材料质量分数增加了1%,Super P相应减少了1%,三元大颗粒增多而负责填充的Super P又不足,导致颗粒变得拥挤,辊压时部分颗粒被压碎,也会影响电池的性能。

图2 正极片表面的SEM图
图3为正极极片横切面的SEM图,从图3中可见,各样品颗粒间通过PVDF粘结剂连结,其中明显掺杂了导电剂石墨烯和Super P。对比四组样品的SEM测试结果,1#和3#的颗粒粒径在10~30 μm,2#和4#的粒径却为20~50 μm,相比实验选择的三元材料前驱体的粒径增大了2~3倍,结果表明,更多的活性材料和较少的导电剂不利于材料的混合,且材料发生了一定的团聚。从图3中还可见,2#和4#颗粒之间较为拥挤,而1#和3#中存在大量的孔道结构,这种结构更容易让电解液浸润到极片内部,加快锂离子传输速率。通过对比还可以发现,1#颗粒表面包覆的导电网络更均匀,其他三组样品的颗粒表面均有不同程度的裸露,原因可能为2#和4#导电剂添加量不足,3#和4#的石墨烯粉末分散不够均匀,综上所述1#的导电剂覆盖更均匀,4#表现最差。

图3 正极片横截面的SEM图
2.2 电池电化学性能分析
2.2.1 低温放电测试
表2为各组样品电池在-20 ℃下的1 C放电容量,从表2中可见:低温放电容量排序为1#>3#>2#>4#>5#,只有1#、2#和3#样品电池的性能满足国标中低温容量不低于常温容量70%的要求,1#样品的低温性能最好,低温放电容量保持率为76.79%,相比于5#对照组,容量提升43.5%。添加石墨烯的四组样品电池的低温容量均高于5#样品电池,这说明添加石墨烯的样品在低温时能有效促进电池内电子的传输,提高电池的电化学性能。1#和2#样品电池低温性能分别优于3#和4#,说明石墨烯浆料更适用于工业化生产,提前将石墨烯分散在NMP中,避免在正极搅拌过程中形成团聚影响电池的性能。1#和3#样品电池低温性能分别优于2#和4#,说明虽然石墨烯的导电性能较高,但是不能过多降低传统导电剂Super P的比例,否则会导致三元颗粒之间导电剂不足,不能形成良好的导电网络,影响颗粒之间的电子传递速率。
表2 各组样品电池-20 ℃低温1 C放电容量

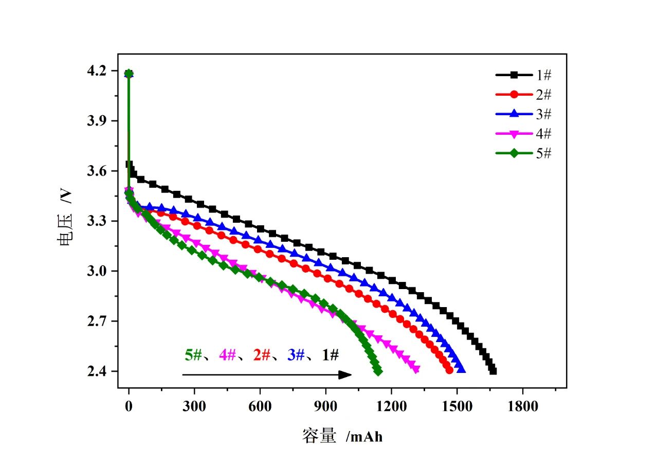
图4为各组样品电池在-20 ℃下的1 C放电曲线。1#样品电池的低温放电容量最大且放电平台最高,在1 C电流下能够达到1 635.2 mAh,放电能量达到5.002 Wh,比5#对照组样品电池能量提升44.4%。5#样品电池放电容量最小且放电平台最低,而且在放电末期电压出现了急剧下降现象,说明传统的导电剂在低温下导电性较差,导致放电末期电池极化严重。

图4 各组样品电池-20 ℃低温1 C放电曲线
2.2.2 倍率放电测试
图5为各组样品电池在室温下的倍率放电曲线及温升曲线。从图5中可看出1#样品电池的倍率放电性能最好,3 C、5 C、8 C和10 C放电均表现出优秀的放电性能,10 C放电容量可以达到908.1 mAh,容量保持率为42.6%。倍率放电测试结果和SEM测试结果表现一致,1#的三元材料颗粒表面导电剂包覆均匀,颗粒之间也布满导电网络,而且颗粒密集程度适中,存在孔洞结构,利于电解液的渗透,提高了电池的电子电导率和离子电导率。
5#对照组样品电池的3 C、5 C和8 C放电性能仅次于1#电池,其性能相差较小,但是10 C放电性能下降严重。说明在倍率不高的情况下放电,传统导电剂Super P和KS-6可以满足使用要求,当10 C高倍率放电时,石墨烯表现出了高电导率的作用,降低了电池的极化内阻,增加了电池的放电容量,而未添加石墨烯的电池极化较大,电压下降加快,提前达到截止电压而停止放电。
2#、3#和4#样品电池在倍率放电测试中表现一般,甚至不如5#对照组,说明石墨烯在搅料过程中的分散性非常重要,石墨烯浆料提前将石墨烯分散在NMP溶剂中,有利于后期的正极浆料搅拌,而石墨烯粉末在正极浆料搅拌时容易发生团聚,导致电池的各项性能较差。而且Super P的添加比例也很重要,Super P可以填充在三元颗粒之间,提高颗粒间的导电性。
图5(e)为各组样品电池倍率放电时的温升曲线。随着倍率的增加,电池温升越高,这与电池内的电化学反应剧烈程度和内阻有关,在3 C和5 C放电时,添加石墨烯的样品均能控制温度在一个较低的水平。在进行8 C和10 C放电时,因1#样品电池放电时间较长,产生了较多热量,但是温升在可控的范围内。在进行10 C放电时,3#、4#和5#样品电池早早地结束放电,并没有产生太多热量。因此石墨烯的添加即可以有效地提高电池的倍率放电性能,也能较好地保持电池的散热效率,保证了电池的安全性。


图5 各组样品电池倍率放电曲线及温升曲线
三、总 结
本实验考察了两种状态的石墨烯及不同的导电剂配比对锂离子电池低温放电性能和倍率放电性能的影响。主要影响如下:
(1)石墨烯浆料更适用于锂离子电池的工业化生产,其不容易发生团聚,添加石墨烯浆料的样品电池的低温放电和倍率放电均远远好于添加石墨烯粉末的样品电池;
(2)添加高电导率的导电剂有助于电池容量的发挥,但是不能过度降低导电剂的比例,正极活性物质颗粒表面覆盖导电剂的均匀程度也非常重要,同时过多的活性物质容易造成颗粒拥挤,压实下降,不利于电解液的渗透;
(3)质量分数20%的石墨烯浆料与质量分数2%的Super P配合使用效果更好,该组样品在-20 ℃下低温1 C放电容量为1 635.2 mAh,容量保持率为76.8%,相比未加石墨烯的对照组性能提升43.5%。该组样品在室温下10 C放电容量为908.1 mAh,容量保持率为42.6%,相比对照组容量提升76%。
参考文献:
[1] 刘彦龙.中国锂离子电池产业发展现状及市场发展趋势[J].电源技术,2019,42(2):181-187.
[2] HE L, JING L, LUAN Y, et al. Enhanced visible activities of α-Fe2O3 by coupling N-doped graphene and mechanism insight[J]. Acs Catalysis,2016,4(3):990-998.
[3] 沈文卓,郭守武.石墨烯在锂离子电池电极材料中的应用[J].电子元件与材料,2017,36(9):79-82.
[4] 王赞霞,袁万颂.混合正极中LiMn0.7Fe0.3PO4粒径对锂离子电池性能的影响[J].电池,2016,46(1):24-27.
[5] 李婷婷,陈炜,冯德圣,等.碳纳米管导电剂在三元锂离子电池中的研究[J].电源技术,2018,42(6):809-811.
[6] 高蕾,顾洪汇,王可,等.陶瓷隔膜对锂离子电池低温性能的影响[J].电池,2018,48(6):14-17.
[7] 胡悦丽,许志,陈立宝,等.导电剂及电解液对锂离子电池低温性能的影响[J].电源技术,2013,37(2):204-205.
[8] 程广玉,顾洪汇,高蕾,等.超低温锂离子电池的研制[J].电池,2016,46(5):255-258.
[9] 陈志金,张一鸣,田爽,等.锂离子电池导电剂的研究进展[J].电源技术,2019,43(2):333-337.
[10] ZHAO X,KIM J K,AHN H J,et al. A ternary sulfur/polyaniline/carbon composite as cathode material for lithium sulfur batteries[J]. Electrochimica Acta, 2013, 109(11):145-152.
[11] LI Q, ZHOU Z, LIU S S, et al. Growth of FePO4, nanoparticles on graphene oxide sheets for synthesis of LiFePO4/graphene[J]. Ionics,2016,22(7):1027-1034.
[12] ZHANG L, LIANG H. Enhancing electrochemical performance of LiFePO4, by in situ reducing flexible graphene[J]. Russian Journal of Electrochemistry, 2013, 49(10):955-959.
[13] LIM J, GIM J, SONG J, et al. Direct formation of LiFePO4/graphene composite via microwave-assisted polyol process[J]. Journal of Power Sources, 2016, 304:354-359.
[14] 曹亮,王安安,艾立华,等.石墨烯在锂离子电池材料性能优化中的应用[J].中国有色金属学报,2016,26(4):807-820.
[15] 吕璐,洪建和,何岗,等.石墨烯在锂离子电池正极材料中应用的进展[J].电池,2012,42(4):225-228.
作者:赵艳红,吴 涛,战祥连,林 双,张志鹏
单位:金年会官方体育登录入口